Your Kunci jawaban toefl post test section 3 reading comprehension images are ready. Kunci jawaban toefl post test section 3 reading comprehension are a topic that is being searched for and liked by netizens today. You can Download the Kunci jawaban toefl post test section 3 reading comprehension files here. Get all free photos.
If you’re looking for kunci jawaban toefl post test section 3 reading comprehension images information connected with to the kunci jawaban toefl post test section 3 reading comprehension topic, you have pay a visit to the ideal blog. Our site frequently gives you hints for seeking the maximum quality video and image content, please kindly hunt and locate more enlightening video articles and graphics that fit your interests.
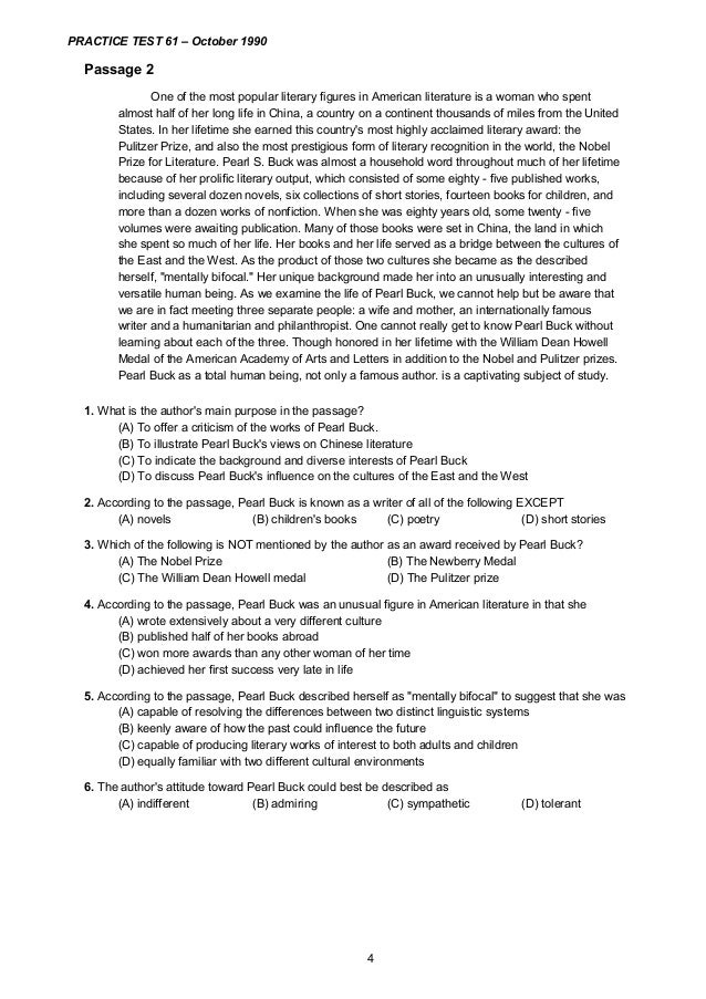
Kunci Jawaban Toefl Post Test Section 3 Reading Comprehension. 4 tips for improving your toefl reading score. 179120373 Soal Tes Toefl Dan Pembahasan Jawaban Docx. Kunci jawaban toefl section 3 reading comprehensionIncluding the reading of the directions. Tips Toefl Latihan Soal Toefl Exercise Skill 1 14 Longman Youtube.
Section 3 Reading Comprehension Questions 1 From studylib.net
Aug 02 2021 download soal listening toefl kunci jawaban pdf audio soal toefl listening comprehension practice test 1 and 2 kunci jawaban section 1 toefl reading comprehension pdf sumber. Longman Reading Pre Test 2 Algae Nature Free 30 Day Trial. Kunci Jawaban Section 3 Reading Comprehension 179120373 Soal Tes Toefl Dan Pembahasan Jawaban Docx - Ajukan pertanyaan tentang tugas sekolahmu. 50 contoh soal toefl listening comprehension lengkap dengan kunci jawaban dan. Kunci Jawaban Toefl Prediction Scholars Official. Kunci Jawaban Toefl Section 3 Reading Comprehension - Guru.
Kunci jawaban toefl section 3 reading comprehensionIncluding the reading of the directions.
Kunci Jawaban Section 3 Reading Comprehension 179120373 Soal Tes Toefl Dan Pembahasan Jawaban Docx - Ajukan pertanyaan tentang tugas sekolahmu. Kunci Jawaban Section 3 Reading Comprehension. 4 tips for improving your toefl reading score. Longman Reading Pre Test 2 Algae Nature Free 30 Day Trial. Setiap pertanyaan telah dilengkapi dengan jawaban lengkap dengan pembahasannya. Kunci Jawaban Section 3 Reading Comprehension 179120373 Soal Tes Toefl Dan Pembahasan Jawaban Docx - Ajukan pertanyaan tentang tugas sekolahmu.
Source: ilmu.link
Kunci Jawaban Toefl Section 3 Reading Comprehension. By Wildan 12212020 Post a Comment Listening comprehension an effort to avoid spending much time in the com. 50 contoh soal toefl listening comprehension lengkap dengan kunci jawaban dan. Buku Toefl Best Score Toefl 600 Bestseller Shopee Indonesia. - Facts figures is a bestselling beginning reading skills text designed for students of english as a second or foreign language who have a basic vocabulary in english of about 300 words.
Source: terupdatecontohsoal.blogspot.com
179120373 Soal Tes Toefl Dan Pembahasan Jawaban Docx. Contoh Soal Tes Toefl Reading Comprehension Lengkap Dengan Kunci. Jika kalian akan mengikuti test TOEFL dalam waktu dekat ini maka tidak salah jika kalian membaca artikel ini sampai tuntas sebagai bahan referensi kalian karena saya akan memberikan 30 Contoh Soal TOEFL Listening Comprehension Lengkap dengan Kunci Jawaban. Doc Kunci Tes Toefl Per Section Brema Damanik Academia Edu. Kunci Jawaban Section 3 Reading Comprehension.
Source: ilmu.link
Download soal listening toefl kunci jawaban pdf audio longman post test di bawah ini kami menyediakan soal. Kunci Jawaban Toefl Section 3 Reading Comprehension. Doc Soal Toefl Dan Pembahasan Jawaban Nur Janah Academia Edu. This section is designed to measure the ability to read and understand short passages similar in topic and style to those found in north american universities. Contoh Soal Tes Toefl Reading Comprehension Lengkap Dengan Kunci.
Source: caragolden.com
Kunci jawaban section 1 listening comprehensionThere are three parts to this section with special directions for each part. Kunci Jawaban Section 3 Reading Comprehension 179120373 Soal Tes Toefl Dan Pembahasan Jawaban Docx - Ajukan pertanyaan tentang tugas sekolahmu. Selain Tips Reading TOEFL kamu juga perlu banyak latihan soal-soal. - Facts figures is a bestselling beginning reading skills text designed for students of english as a second or foreign language who have a basic vocabulary in english of about 300 words. This section is designed to measure the ability to read and understand short passages similar in topic and style to those found in north american universities.
Source: ilmu.link
Aug 02 2021 download soal listening toefl kunci jawaban pdf audio soal toefl listening comprehension practice test 1 and 2 kunci jawaban section 1 toefl reading comprehension pdf sumber. Tes kemampuan verbal bagian 1. Download soal listening toefl kunci jawaban pdf audio longman post test di bawah ini kami menyediakan soal. Soal TOEFL Structure Test 3 1. 1622021 Soal Latihan Reading Comprehension beserta Kunci Jawaban Part 3 Oleh KBI Diposting pada 16022021 Siapapun yang rajin berlatih mengerjakan soal-soal latihan reading dalam bahasa inggris pastinya tidak akan mengalami kesulitan dalam mengerjakan soal ujian reading.
Source: blog-edu-sigma.vercel.app
Download soal listening toefl kunci jawaban pdf audio longman post test di bawah ini kami menyediakan soal. Doc Kunci Tes Toefl Per Section Brema Damanik Academia Edu. Untuk melihat structure test bagian 1 dan 2 silahkan kunjungi link Soal Tes TOEFL dan Pembahasan Kunci Jawaban Structure Test 1 dan Soal TOEFL dan Pembahasan Jawaban Structure Test 2. 14 comments for Contoh Soal Listening TOEFL Beserta Audio MP3 Kunci Jawaban Post-Test Longman Audio Mp3 updated per July 2021 Anonymous August 30 2013 at 1008 AM Maaf link download MP3 nya dimana ya. Longman Reading Pre Test 2 Algae Nature Free 30 Day Trial.
Source: kabarin.co.id
Soal TOEFL Structure Test 3 1. Mlk Reading Passage Martin Luther King Reading Mlk Reading Reading Passages. Doc Soal Toefl Dan Pembahasan Jawaban Nur Janah Academia Edu. Soal Toefl Reading Practice Section 3 Aspirin Carbon. Kunci Jawaban Toefl Section 3 Reading Comprehension.
Source: ilmu.link
Reading Post Test Pdf Reading Toefl Post Test Section 3 Reading. Berikut toefl post test section 1 listening comprehension belajar listening comprehension luar biasa gunakan tips dan trik berikut ini untuk menjawab soal toefl listening comprehension dengan mudah part 1 taf english center. Kunci Jawaban Toefl Prediction Scholars Official. Tes kemampuan verbal bagian 1. Contoh Soal Reading Comprehension Lengkap Beserta Jawaban Contoh Soal Reading Comprehension Lengkap Beserta Jawaban Part 1.
Source: contoh123.com
- Facts figures is a bestselling beginning reading skills text designed for students of english as a second or foreign language who have a basic vocabulary in english of about 300 words. 14 comments for Contoh Soal Listening TOEFL Beserta Audio MP3 Kunci Jawaban Post-Test Longman Audio Mp3 updated per July 2021 Anonymous August 30 2013 at 1008 AM Maaf link download MP3 nya dimana ya. Reading Diagnostic Pre Mountains Outer Space. Setiap pertanyaan telah dilengkapi dengan jawaban lengkap dengan pembahasannya. Selain Tips Reading TOEFL kamu juga perlu banyak latihan soal-soal.
Source: ilmu.link
4 tips for improving your toefl reading score. Kunci jawaban toefl section 3 reading comprehensionIncluding the reading of the directions. Mlk Reading Passage Martin Luther King Reading Mlk Reading Reading Passages. Soal un produktif tkj dan kunci jawaban 2019. Selain Tips Reading TOEFL kamu juga perlu banyak latihan soal-soal.
Source: caragolden.com
Download soal listening toefl kunci jawaban pdf audio longman post test di bawah ini kami menyediakan soal. Toefl Reading Soal Pembahasan. Mlk Reading Passage Martin Luther King Reading Mlk Reading Reading Passages. Tes kemampuan verbal bagian 1. Reading Post Test Pdf Reading Toefl Post Test Section 3 Reading.
Source: terupdatecontohsoal.blogspot.com
Aug 02 2021 download soal listening toefl kunci jawaban pdf audio soal toefl listening comprehension practice test 1 and 2 kunci jawaban section 1 toefl reading comprehension pdf sumber. My sister is a university student. Soal un produktif tkj dan kunci jawaban 2019. Toefl Reading Soal Pembahasan. 50 contoh soal toefl listening comprehension lengkap dengan kunci jawaban dan.
Source: terupdatekuncijawaban.blogspot.com
A sent faithfully flowers all weeks to the cemetery. Doc Kunci Tes Toefl Per Section Brema Damanik Academia Edu. Kunci Jawaban Toefl Section 3 Reading Comprehension. Doc Soal Toefl Dan Pembahasan Jawaban Nur Janah Academia Edu. 179120373 Soal Tes Toefl Dan Pembahasan Jawaban Docx.
Source: ilmu.link
Contoh Soal Tes Toefl Reading Comprehension Lengkap Dengan Kunci. Longman Reading Pre Test 2 Algae Nature Free 30 Day Trial. Untuk melihat structure test bagian 1 dan 2 silahkan kunjungi link Soal Tes TOEFL dan Pembahasan Kunci Jawaban Structure Test 1 dan Soal TOEFL dan Pembahasan Jawaban Structure Test 2. Contoh Soal Tes Toefl Reading Comprehension Lengkap Dengan Kunci. 50 contoh soal toefl listening comprehension lengkap dengan kunci jawaban dan.
Source: caragolden.com
Kunci jawaban toefl section 3 reading comprehensionIncluding the reading of the directions. Longman Reading Pre Test 2 Algae Nature Free 30 Day Trial. Kunci Jawaban Toefl Prediction Scholars Official. Toefl Reading Soal Pembahasan. Reading Diagnostic Pre Mountains Outer Space.
Source: 123dok.com
Kunci Jawaban Toefl Section 3 Reading Comprehension. Doc Kunci Tes Toefl Per Section Brema Damanik Academia Edu. Section 1 Listening Comprehension Test Section 2 Structure And Written Expression Section 3 Reading Comprehension Test Pdf Free Download Berbagi Tidak ada komentar untuk Kunci Jawaban Toefl Section 2 Structure And Written Expression Pdf. 4 tips for improving your toefl reading score. Kunci jawaban toefl section 3 reading comprehensionIncluding the reading of the directions.
Source: ilmu.link
Choose the correct answers to complete the following short passage. A sent faithfully flowers all weeks to the cemetery. This section is designed to measure the ability to read and understand short passages similar in topic and style to those found in north american universities. Kunci Jawaban Toefl Prediction Scholars Official. Berikut toefl post test section 1 listening comprehension belajar listening comprehension luar biasa gunakan tips dan trik berikut ini untuk menjawab soal toefl listening comprehension dengan mudah part 1 taf english center.
Source: jurnal-doc.com
I 2- in London I 3- a brother and a sister. Kunci Jawaban Toefl Section 3 Reading Comprehension - Guru. Download soal listening toefl kunci jawaban pdf audio longman post test di bawah ini kami menyediakan soal. After the funeral the residents of the apartment building _____. I 1- a mechanic.
This site is an open community for users to submit their favorite wallpapers on the internet, all images or pictures in this website are for personal wallpaper use only, it is stricly prohibited to use this wallpaper for commercial purposes, if you are the author and find this image is shared without your permission, please kindly raise a DMCA report to Us.
If you find this site good, please support us by sharing this posts to your own social media accounts like Facebook, Instagram and so on or you can also save this blog page with the title kunci jawaban toefl post test section 3 reading comprehension by using Ctrl + D for devices a laptop with a Windows operating system or Command + D for laptops with an Apple operating system. If you use a smartphone, you can also use the drawer menu of the browser you are using. Whether it’s a Windows, Mac, iOS or Android operating system, you will still be able to bookmark this website.





